10月28日配资咨询平台,国科大杭州高等研究院的张夏衡团队在nature上发表了重磅文章《Direct deaminative functionalization with N-nitroamines(N-硝基胺介导直接脱氨官能团化)》。
字越少事越大,一句话说,他们的研究成果把传统的兜圈子工艺,优化成了简单、安全又优雅的新技术。
很多业内人士认为,它不仅可能改写大学教科书,甚至未来有机会冲击诺贝尔奖,文章的审稿人之一,制药巨头辉瑞的高级研发总监 Scott Bagley 称其为“真正的杰作”。
到底是什么样的研究能获得这么高的评价?这项新成果又会怎样改变我们的生活?
研究出了啥?
一切都要从芳香胺说起。
芳香胺是一大类有机化合物,它们来源广泛,用途多样,几乎渗透在我们生活的每一个角落——从医药分子的合成,到染料、农药、橡胶助剂,再到功能材料与电子工业,它们是农业、医学、乃至整个化学工业的基石。
十九世纪末,芳香胺就有了工业化应用,但直到最近,芳香胺的加工工艺都没多大进展——危险又昂贵,繁琐又低效,还会生成有爆炸风险的中间产物和大量含重金属的废液。
奠定芳香胺工业基础的德国化学家彼得·格里斯 (Peter Griess)
在过去140年里,有机化学家们一直在试图驯服这匹野马,希望找到一条安全又高效的道路。现在,张夏衡团队终于找到了合适的缰绳,以一种既温和又精准的方式,稳稳地驾驭住了它。
氨基之所以难以处理,是因为它非常“懒”,喜欢赖在芳环上,不按科学家的想法和目的分子替换。为了请走这位懒汉,必须狠狠地踹它的屁股,使氨基进入活化状态。
140年来,常用的方法是把胺根活化成重氮盐,这是一种非常不稳定的状态,像嘶嘶漏气的煤气罐。
在分解时,重氮盐会释放出氮气和大量能量,一旦反应速度过快,就会爆炸。过去,在新药或者材料开发中,每次把氨基转化成其他基团,都像是背着煤气罐赛跑。
张夏衡团队走了另一条路,他们将胺根活化为了N-硝基胺。比起重氮盐,这种活化态要温和得多,显著改善了安全性,同时,它也具备有足够活性,很容易进行后续反应。
N-硝基胺介导的直接脱氨官能化的反应机理
反应从最普通的胺开始。吡啶胺在硝酸作用下经加热脱水,氨基(–NH₂)被转化为一个特殊的中间体——N-硝基胺。这一步的意义是对惰性的芳香胺进行初步活化。
第二步,在适当体系中,N-硝基胺会发生质子迁移,进行数次互变异构化(tautomerization),也就是原子数量和种类没变而位置发生变化的过程。这种分子内换位使得结构能量更有利于后续的反应,也为脱氨做好准备。
第三步是活化和进一步脱水。在质子(H⁺)或促进剂(如 DMAP、SOCl₂)的作用下,中间体进一步脱去水分子,到达一种高度活化的芳香环状态。此时,分子上形成一个带有离去基团 N=O=O 的片段,元鼎证券_元鼎证券登录入口_股票配资平台官网也就是后面会被排出的一氧化二氮(N₂O)来源。
第四步是脱氨并生成新化学键。当氯离子(Cl⁻)进攻芳环时,N=O=O 片段脱离并释放出 N₂O,同时氯原子进入芳环,与碳原子直接成键。最终得到目标产物——氯代吡啶。
比起在大学课本中上百年的传统方法,这种方法可以说是优雅又高效。
这个成果如何改变工业生产?
仅仅是改善了安全性,这项研究成果还没有那么亮眼。事实上,这种方法不仅安全,还可以兼容更多的反应物,甚至将反应的效率推向了一个新的高度。
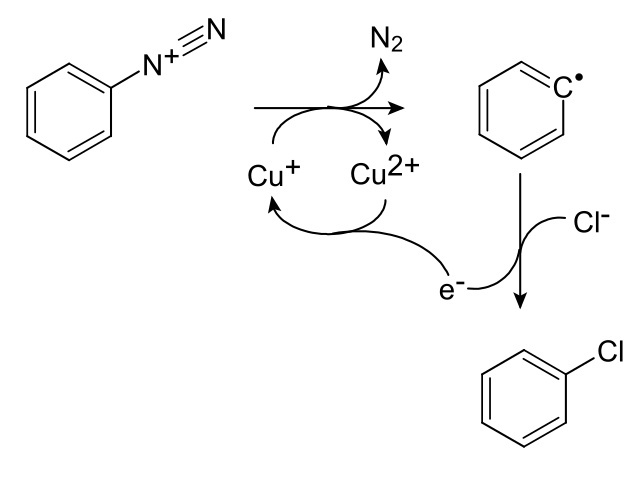
问题还是出在重氮盐上。因为重氮盐的暴脾气,如果直接用热分解的方法来释放氮气,反应很可能会失控,因此,铜离子成为了高压锅的压力阀,负担起了使反应缓和的重要作用。
在反应体系中,铜离子会通过巧妙的电子转移来稳定反应过程。首先亚铜离子会给重氮盐一个电子,使重氮盐稳定下来,以更温和的方式释放氮气,进入一个稳定的中间体形态。接着,铜离子再把自己携带的目标原子传递给芳香环,完成氨基的替换。
相比之下,N-硝基胺不需要额外的金属试剂,简单的反应就能完成官能团替换,不仅更安全,反应也更干净,更高效。
著名的铜离子参与的可控脱氨
而且,张夏衡团队还发现这种方法几乎不受氨基在芳环上位置的影响,这一下扩大了反应物的选择范围。因为在传统方法中,情况可远没这么理想。
重氮盐的反应活性会受到分子周围取代基的强烈影响:给电子基(如–OH、–OCH₃等)会让反应太快,不好控制;而电子吸基(如–NO₂、–CF₃)又会让反应难以进行。
张夏衡团队的方法,还兼容更多的目标原子。除了刚才展示的氯原子,他们还测试了氟、溴等其他卤素;以及氧、硫等杂原子键;还有各种碳-碳键,这几乎覆盖了化工应用上的所有化学键类型。
化工反应釜 | wikipedia
在应用上,张夏衡团队继续向前一步:他们的反应可以一锅到底——传统方法因为引入了铜离子,会妨碍后续反应,因此在获得产物后,需要纯化才能继续进行下一种反应,而张夏衡团队的体系足够温和以及干净,完成反应后无需纯化,可以直接在反应釜中继续投料,进行下一步反应。在实验中,他们成功完成了公斤级的反应实验,这意味着该方法已经逼近真实工业生产的规模。
更稳定的体系、更广的底物、更高的效率,这种方法是对当下工业合成的一次振奋人心的全面改进。
我们的生活会有什么改变?
脱氨反应在当下的化工生产的应用几乎无处不在,它是许多核心反应的基础。改进脱氨工艺,何止是利国利民。
在保障粮食安全的农业领域,目前最常用的农药除草剂之一——2,4-D(2,4-二氯苯氧乙酸)的合成过程,需要进行关键的芳香胺的脱氨氯化反应。这一环节传统上依赖重氮盐和铜盐催化,不仅危险,还会产生大量含重金属的废液。如果采用新方法,在不需铜离子的温和条件下完成反应,对于这种年生产量以万吨计的农药,每减少一步金属催化,就可以减少巨额成本,显著降低污染排放。
2,4-D 的一种常见商品化衍生物
在医药领域这项成果的影响就更大了。
对于结构复杂,富含芳香胺结构的抗癌药物,张夏衡团队的脱氨方法无异于久旱甘霖。抗癌药物甲磺酸伊马替尼(Imatinib Mesylate)是瑞士诺华制药生产的原研药,也是电影《我不是药神》中贵到让人心碎的救命药,自2001年被引入中国至今,其价格一直是23500元每盒,一般家庭很难负担得起。
伊马替尼生产工艺中,需要多次重氮化替换反应,是整个路线中最费工的环节,如果优化反应,生产成本和效率可以明显降低,药品的价格就可能被打下来,无数家庭可以得到拯救。
而且,这种反应的潜力绝不止于此,在药品的研发与迭代阶段,凭借直接脱氨不挑反应物种类和位置的特性,药企可以直接在成药母体上进行快速替换、评估药效,缩短优化周期。原来需要几个月合成一批候选物,现在可能只需要几天,原来几年才能迭代一次的制药周期现在可能会大大缩短。当药物合成的效率更高,可能就有更多的生命被及时挽救。
在材料领域,也有许多方向将从这一反应中获益。比如你现在盯着的手机,就可能因为这个反应变得更便宜更好用。几乎所有手机、电脑主板和芯片的封装树脂都离不开芳香胺固化剂,这种新的脱氨反应不仅能显著降低生产成本,还能得到更耐热、更高效、更轻质的电路材料。在未来,电脑、手机、汽车,乃至航天设备都可能因为这个反应而寿命更长、性能更好、能耗更低。
又一次站在巨人的肩膀上
其实N-硝基胺并非被张夏衡团队首次发现,早在1893年,这种中间体就已经被发现,但之后百余年都无人深究其反应潜力。更耐人寻味的是,N-硝胺这一结构也出现在一些著名的高能材料中(如旋风炸药黑索金),或许正因为这种离爆炸不远的危险联想,让后来者更趋于回避这条路线。
张夏衡谦虚地指出:“灵感有时不是设计出来的,而是‘撞’出来的。我们很幸运,站在了前人的肩膀上,看到了他们没看到的方向。”
有的人说张夏衡团队做出的东西太简单,不值一提,但他们的贡献在于把这条路线的潜力真正展示出来。
即便是重要结果真的出现在我们面前,也需要认真思考,细致求证,以及后续锲而不舍的研究,否则,就算好运降临,也只会再次沉没于历史的长河里。
参考文献
[1] https://www.zhihu.com/question/1967282093101941035
Tu, G., Xiao, K., Chen, X. et al. Direct deaminative functionalization with N-nitroamines.Nature (2025). [2]https://doi.org/10.1038/s41586-025-09791-5
[3]https://patents.google.com/patent/US9695114B2/
[4]https://www.ossila.com/products/tpd
[5]https://www.nhsa.gov.cn/art/2024/12/22/art_14_15203.html
[6]https://it.hangzhou.com.cn/jrjd/yjnews/content/2025-10/28/content_9111670.html
作者:李小雅

元鼎证券_元鼎证券官网入口_最安全的线上配资平台提示:本文来自互联网,不代表本网站观点。